·Î±×ÀÎ
¿Â¶óÀÎ ¼ö°½Åû
¸¶ÀÌ ÆäÀÌÁö
°ø´Ü±â °æ³²¡¤Ã¢¿øÇпø
°ø¹«¿ø
°æ³²¡¤Ã¢¿ø Çпø
°ø´Ü±âÇпø
¼Ò¹æ´Ü±âÇпø
µ¶Çаü
°ø¹«¿ø µ¶Çаü
¼Ò¹æ µ¶Çаü
±º¹«¿ø µ¶Çаü
°æÂû µ¶Çаü
Ä¿³ØÃ÷ ÇÁ·¦
â¿ø ÇÕ¼ºÁ¡
â¿ø »ó³²Á¡
¼±»ý´Ô
¼ö°½Åû
°ø¹«¿ø
Çпø½Ç° ÇÁ¸®ÆÐ½º
°ü¸®Çü ¼ö¼®¹Ý
±âº»&½ÉÈÀÌ·Ð Ç®ÆÐŰÁö
½ÉÈ/Å׸¶ ´Ü°ú
26´ëºñ ¹®Á¦Ç®ÀÌ
¾ó¸®¹öµå Ư°
ÀϹݱâ°èÁ÷ ´Ü±âÇհݹÝ
2026 ±¹°¡Á÷ ÃÖÁ¾UP ¸¶¹«¸®
2026 ±¹°¡Á÷ ¸éÁ¢´ëºñ¹Ý
±º¹«¿ø
Çпø½Ç° ÇÁ¸®ÆÐ½º
°ü¸®Çü ¼ö¼®¹Ý
±âº»&½ÉÈÀÌ·Ð Ç®ÆÐŰÁö
½ÉÈ/Å׸¶ ´Ü°ú
26´ëºñ ¹®Á¦Ç®ÀÌ
±â¼úÁ÷ ´Ü±âÇհݹÝ
¾ó¸®¹öµå Ư°
ÀϹݱâ°è/ÃÑÆ÷/À¯µµ¹«±âÁ÷
1:1 ÇÕ°Ý ÄÁ¼³ÆÃ
¹æ¹® ÄÁ¼³ÆÃ
īī¿ÀÅå ¹®ÀÇ
¼³¸íȸ
Çհݼö±â
¼öÇèÁ¤º¸
°ø¹«¿ø½ÃÇè °¡À̵å
ÁÖ¿ä °ø°í¹®
ÃֽнÃÇèÁ¤º¸
ÇпøÁ¤º¸
°øÁö»çÇ×
¿À½Ã´Â±æ
Çпø
°æ³²¡¤Ã¢¿ø Çпø
°ø´Ü±âÇпø
¼Ò¹æ´Ü±âÇпø
µ¶Çаü
°ø¹«¿ø µ¶Çаü
¼Ò¹æ µ¶Çаü
±º¹«¿ø µ¶Çаü
°æÂû µ¶Çаü
Ä¿³ØÃ÷ ÇÁ·¦
â¿ø ÇÕ¼ºÁ¡
â¿ø »ó³²Á¡
Àΰ
¿Í¿ì¿¡µà
°ø¹«¿ø
°ø¹«¿ø ±â¼úÁ÷
±º¹«¿ø
±º¹«¿ø ±â¼úÁ÷
°ø´Ü±â
°ø¹«¿ø/±º¹«¿ø
°ø¹«¿ø/±º¹«¿ø ±â¼úÁ÷
½ÃÇè°ø°í
Àüü
½ÃÇè°èȹ
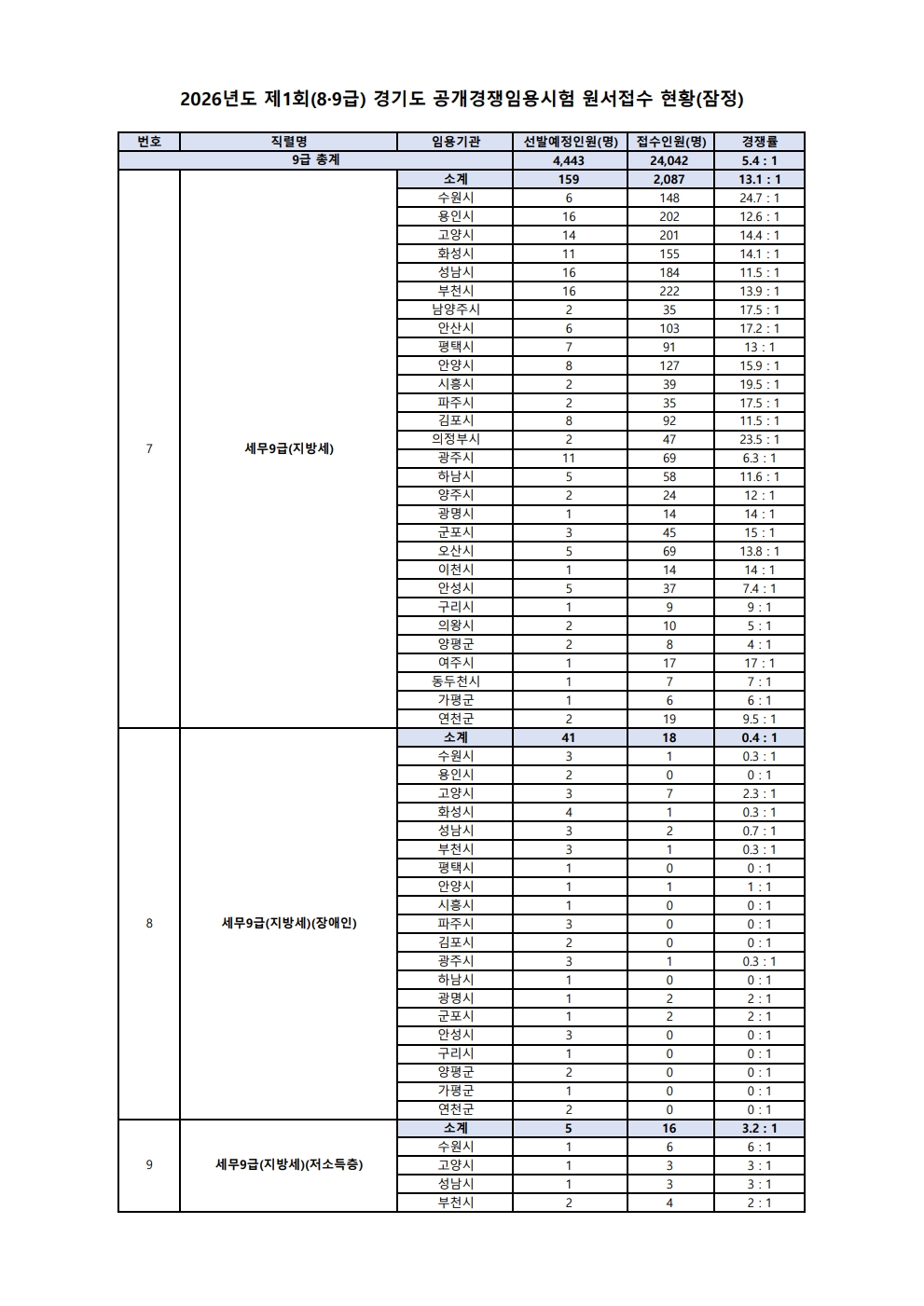
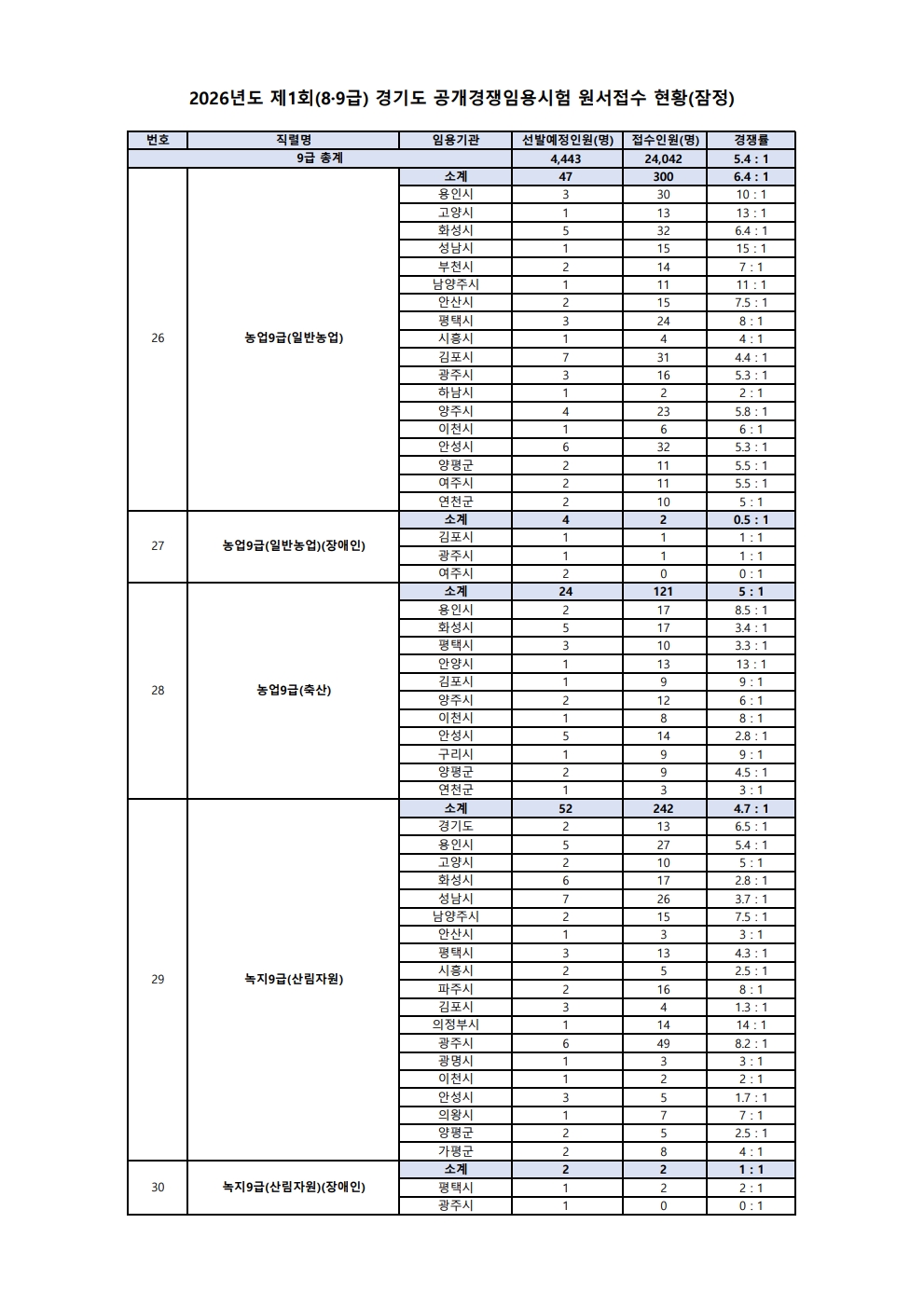
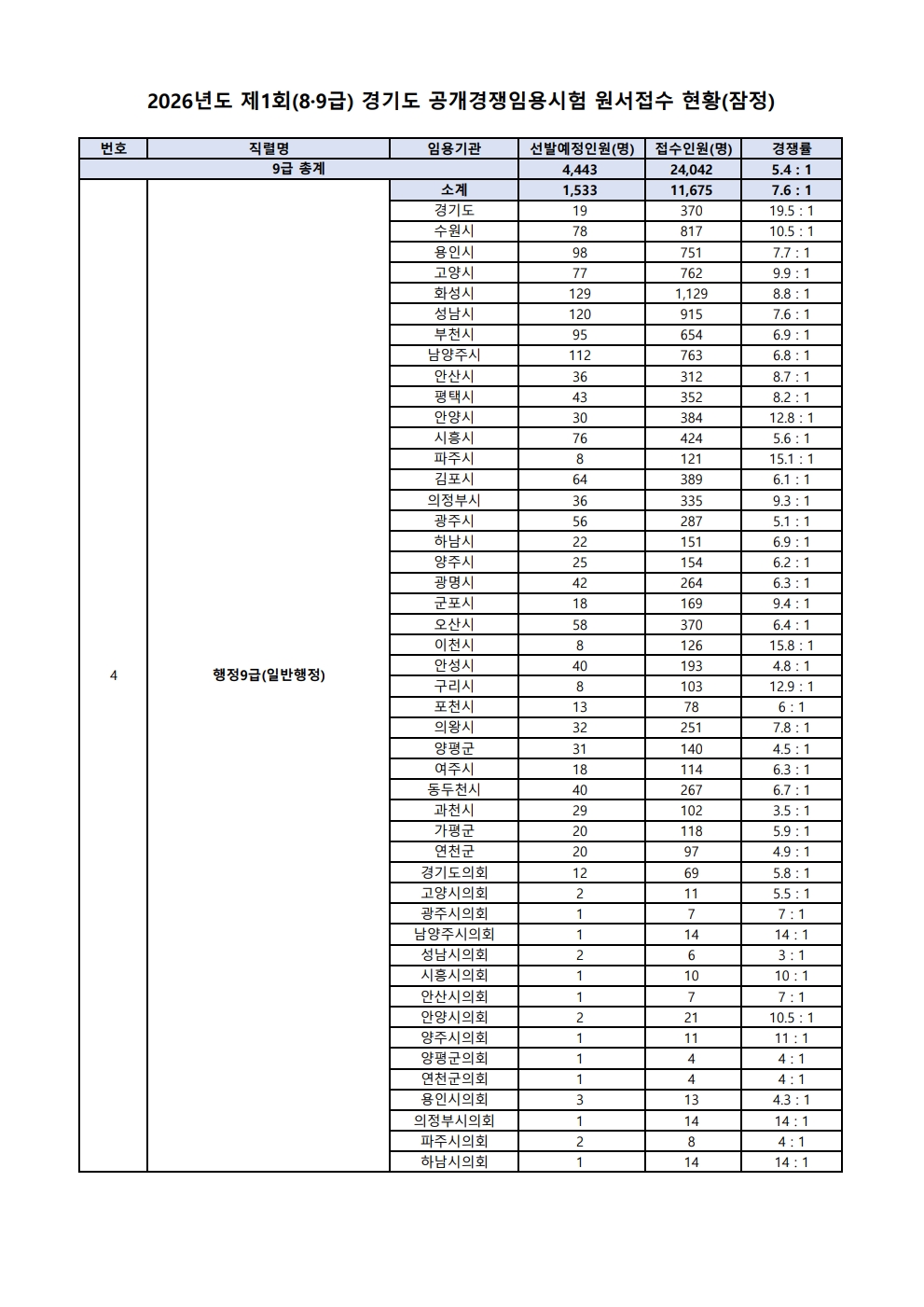
°æÀï·ü
½ÃÇèÀå¼Ò
ÇհݹßÇ¥
´º½º
±âŸ
ÀÚ°ÝÁõ
°æÀï·ü
2026³âµµ Á¦1ȸ(8¡¤9±Þ) °æ±âµµ °ø°³°æÀïÀÓ¿ë½ÃÇè ¿ø¼Á¢¼ö ÇöȲ(ÀáÁ¤)
2026.04.01
2026³âµµ Á¦1ȸ(8¡¤9±Þ) °æ±âµµ °ø°³°æÀïÀÓ¿ë½ÃÇè ¿ø¼Á¢¼ö ÇöȲ(ÀáÁ¤).pdf
708.2KB